欢迎访问河南工业贸易职业学院-招生处!
设为首页
|
加入收藏
招生处
首页
通知公告
招生政策
招生章程
招生计划
录取公示
报考指南
联系方式
录取公示
当前位置:
首页
>>
录取公示
>> 正文
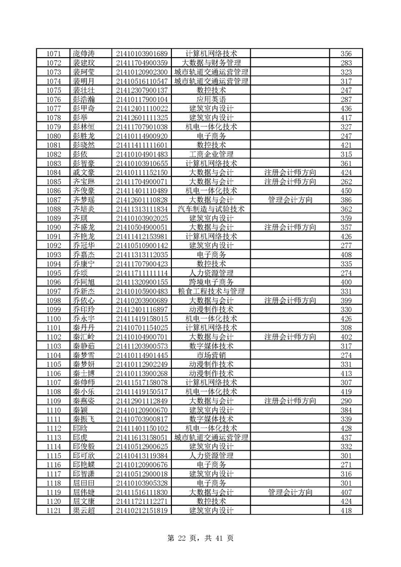
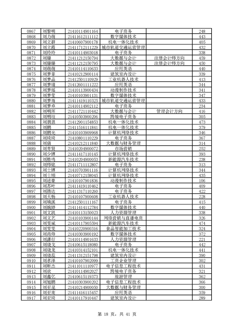
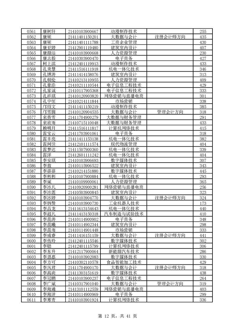
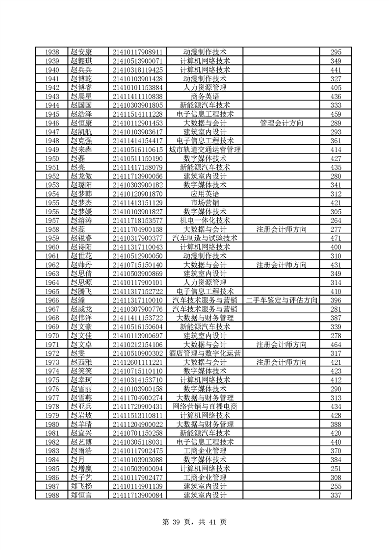
河南工业贸易职业学院 2021年单独考试招生录取名单(按姓氏排序)
发布日期:2021-05-13 00:00:00 编辑: 来源: 点击:
龙湖校区地址:河南省郑州市新郑龙湖大学城祥云路76号
优胜校区地址:河南省郑州市优胜北路4号
© 2013 版权所有 河南工业贸易职业学院 edu备案号
豫ICP备17037532号
豫公网安备 41018402000138号